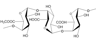
Sodium pectate CAS YG10332The characteristic structure of pectin is a linear chain of α-(1,4)-linked D-galacturonic acid that forms the pectin-backbone, a homogalacturonan (pectic acid). The polygalacturonic acid is partly esterified with methyl groups and the free acid groups may be partly or fully neutralized with sodium, potassium or ammonium ions. The ratio of esterified galacturonic acid groups to total galacturonic acid groups - termed the degree of esterification (DE) - has vital influence on the properties of pectin, especially the solubility and the gel forming characteristics. The mechanism for gel formation with calcium ions is known as ‘The egg box’.
Into this backbone, there are regions where galacturonic acid is replaced by (1,2)-linked L-rhamnose. From the rhamnose residues, sidechains of various neutral sugars branch off. This type of pectin is called rhamnogalacturonan-I (RG-I). Up to every 25th galacturonic acid in the main chain is replaced with rhamnose..
Some stretches consist of alternating galacturonic acid and rhamnose – “hairy regions”, others with lower density of rhamnose – “smooth regions”. The neutral sugars are mainly D-galactose, L-arabinose and D-xylose, the types and proportions of neutral sugars varying with the origin of pectin. Another structural type of pectin is rhamnogalacturonan II (RG-II), which is a less frequent complex, highly branched polysaccharide.
